какое соприкосновение с судовой электрической сетью является наиболее опасным
4 Эксплуатация электрического и электронного оборудования
17 Основы электротехники и электробезопасности. Судовая электроника
Укажите рисунок, на котором правильно отмечены величины напряжений?
Рис. 1.
Вольтметры, установленные на ГРЩ показывают
С помощью какого выражения можно определить величину активной мощности в трехфазной судовой сети, используя показания электроизмерительных приборов (амперметра и вольтметра), установленных на ГРЩ?
1. 

Какое напряжение подводится к судовым силовым электрическим розеткам?
Двухфазное напряжение 220 В
Можно ли приемники электроэнергии, рассчитанные на питание однофазным напряжением 220 В, подключать к двухфазной сети с линейным напряжением 220 В? Да
Как измениться мощность асинхронного электродвигателя переменного тока, если произвести переключение способа соединения обмоток с треугольника на звезду? Уменьшиться в 3 раза
В чем особенность светового потока, создаваемого люминесцентными лампами низкого давления?
Мерцают с частотой в раза большей частоты тока в сети
Какое значение погрешности положено в основу при определении класса точности электроизмерительных приборов?
Максимальное значение приведенной погрешности в процентах
Какая погрешность электроизмерительного прибора имеет ту же размерность, что и измеряемая величина?
Как изменяется сопротивление тела человека при увеличении величины напряжения?

При какой частоте электрического тока сопротивление тела человека выше?
0 Гц (постоянный род тока)
Как изменяется сопротивление тела человека при увеличении времени прикосновения с токоведущим элементом?
Какой ток из перечисленных наиболее опасен для человека (при величине напряжения до 500 В)?
Переменный частотой 50 Гц
Что называется защитным заземлением?
Электрическое соединение с “землей” металлических нетоковедущих частей
Что относится к основным изолирующим средствам защиты в установках с напряжением до 1000 В?
Какое соприкосновение с судовой электрической сетью является наиболее опасным?

Чему равно сопротивление внутренних тканей человека
При какой величине переменного тока частотой 50 Гц, протекающего через организм, человек начинает его ощущать?
При какой величине постоянного тока, протекающего через организм, человек начинает его ощущать?
Чему равна величина безопасного тока частотой 50 Гц, протекающего через человеческий организм?
При какой величине постоянного тока, протекающего через организм, человек в случае соприкосновения с токоведущей частью не способен самостоятельно отсоединиться от токоведущего элемента?
Какой по величине ток, проходя по организму человека, вызывает немедленную остановку сердца?
Какое прикосновение человека к токоведущим частям в судовых сетях наиболее опасно?
Двухфазное (одновременное прикосновение человека к двум фазным проводам)
Какой основной способ повышения электробезопасности в судовых электроустановках?
Применение защитного заземления
Можно ли использовать вместо указателей напряжения «контрольную лампу»?
Разрешается ли в диэлектрических перчатках работать с электрооборудованием, находящимся под напряжением?
Разрешается в сетях с напряжением менее 1000 В
Что называется защитным занулением?
Электрическое соединение металлических нетоковедущих частей с заземленной нейтралью
Чему равна величина безопасного постоянного тока, протекающего через человеческий организм?
При какой величине переменного тока частотой 50 Гц, протекающего через организм, человек в случае соприкосновения с токоведущей частью, не способен самостоятельно разжать кисть руки?
Укажите основное назначение защитного заземления?
Устранение опасности поражения электрическим током обслуживающего персонала
Какой основной способ повышения электробезопасности используется в судовых электроустановках?
Применение защитного заземления
Судовые электроустановки. Укажите основное назначение защитного отключения?
Устранение опасности поражения электрическим током обслуживающего персонала
Укажите область применения защитного отключения в судовых электроустановках
Электрические сети с любой нейтралью
Для чего в судовых электроустановках используют указатели напряжения
Для проверки наличия напряжения на токоведущих частях
Разрешается ли в диэлектрических перчатках работать с электрооборудованием, находящимся под напряжением?
Разрешается в сетях с напряжением менее 1000 В
Основным достоинством IGBT-транзисторов является
Возможность управления большими по величине токами и напряжениями посредством минимальных по величине управляющих сигналов
Ширина петли гистерезиса компаратора, реализующего функции триггера Шмитта (смотри рисунок), зависит от соотношения между резисторами
Чем отличается параметрический стабилизатор напряжения от компенсационного?
Стабилизацией за счет особенностей вольт-амперной характеристики
Коэффициент пересчета двоично-десятичного счетчика равен
Какие измерительные преобразователи применяются в датчиках крутящего момента?
Какие проводниковые материалы применяются в термопреобразователях сопротивления (термометрах сопротивления)?
Омические датчики уровня применяются для
Явление самохода (вращение двигателя при отсутствии напряжения управления) в двухфазных исполнительных двигателях устраняется
Увеличением критического скольжения больше единицы
Какое влияния оказывает сопротивление нагрузки на статическую характеристику потенциометрического преобразователя?
Приводит к уменьшению выходного напряжения
Двигатель постоянного тока можно рассматривать как реальное интегрирующее звено
Если выходной величиной является угол поворота якоря
Коэффициент трансформации линейного поворотного трансформатора равен
Основное влияние на динамическую погрешность датчиков температуры с термометрами сопротивления оказывает
Защитный металлический кожух
Выходным сигналом индукционных преобразователей частоты вращения является
Укажите название схемы включения операционного усилителя

Определите величину выходного сигнала при указанных на схеме номиналах
Выходной сигнал составит +16,2В

Укажите название схемы включения операционного усилителя

В каком режиме измерительный трансформатор тока имеет минимальную погрешность
В режиме короткого замыкания, когда:
Для чего используется интегратор в датчике тока микропроцессорной системы управления электроэнергетической установки
Для получения заданной время-токовой характеристики
Каким образом уменьшается значение ЭДС самоиндукции в электромагните постоянного тока при отключении его обмотки от сети?
Параллельно обмотке электромагнита подключается разрядный резистор
К чему приводит заедание якоря электромагнита переменного тока?
К сгоранию обмотки электромагнита
Как включаются резисторы обратной связи в схеме определения среднеарифметической мощности судового генератора?
Подключение очередного генератора к судовой сети приводит к параллельному включению резистора обратной связи
Для чего служит компенсационная обмотка электромашинного усилителя поперечного поля?
Для компенсации продольной составляющей реакции якоря
Укажите основное назначение транзистора VT3

На рисунке изображена принципиальная электрическая схема операционного усилителя. Поясните назначение транзисторов VT1 и VT2

На рисунке показана принципиальная электрическая схема усилителя с обратной связью. Какой тип обратной связи реализован в схеме?

Какие измерительные преобразователи применяются в датчике положения рейки топливных насосов?
Почему трехфазные сети переменного тока находят более широкое применение на судах, чем с сети постоянного тока?
1. Простая конструкция и высокая надежность трехфазных электрических машин
2. Проще осуществлять преобразование напряжения
Что влияет на сопротивление тела человека электрическому току?
1. Окружающая среда
2. Физиологические факторы
3. Состояние кожного покрова
4. Параметры электрической сети
Что относится к дополнительным изолирующим средствам защиты в установках с напряжением до 1000 В?
1. Диэлектрические сапоги
2. Диэлектрические галоши
3. Диэлектрические коврики
В каких случаях возникает опасность поражения электрическим током?
1. При замыкании фазы электрической машины на корпус
2. При снижении сопротивления изоляции электрической сети
Частота колебаний мультивибратора зависит
1. От величины напряжения U1
2. От величины постоянной времени RC цепи
Какие измерительные преобразователи применяются в датчиках давления в цилиндрах ДВС?
На каком рисунке изображена судовая трехфазная электрическая сеть?
В Правилах технической эксплуатации судовых технических средств и конструкций приведены нормы сопротивления изоляции электрооборудования для
Нового или капитально отремонтированного оборудования
1. В виде значений, определенных в холодном и нагретом состояниях
Оборудования, находящегося в эксплуатации
2. В виде нормального и предельно допустимого значений, определенных в нагретом состоянии
Техническое состояние электрооборудования, находящегося в эксплуатации, с точки зрения сопротивления изоляции может быть оценено как
Если сопротивление изоляции не меньше нормального значения
Если сопротивление изоляции меньше нормального значения, но равно или больше предельно допустимого значения
Если сопротивление изоляции меньше предельно допустимого значения
Укажите названия полупроводниковых приборов, представленных на рисунках
2. Двухсторонний стабилитрон
Укажите названия полупроводниковых приборов, представленных на рисунках
а. МОП –транзистор со встроенным каналом
б. МОП –транзистор с индуцированным каналом
в. IGBT –транзистор (биполярный транзистор с изолированным затвором)
Укажите условно-графические обозначения полупроводниковых приборов



Укажите назначение и тип датчиков неэлектрических величин, представленных на рисунках



Укажите условно-графические обозначения интегральных микросхем, представленных на рисунке
а) Мультиплексор (логический коммутатор)
в) Двоично-десятичный реверсивный счетчик
Определите названия полупроводниковых приборов по виду вольт – амперных характеристик приведенных на рисунке
а) полупроводниковый диод
б) полупроводниковый стабилитров (диод Зеннера)
Определите названия элементов автоматики по виду характеристик вход-выход
а) Безгистерезисный компаратор (нуль – орган)
б) Регенеративный компаратор (тригер Шмита)
в) Нереверсивный магнитный усилитель
Укажите названия схем усилителей, приведенных на рисунке


Идентифицируйте характеристики усилителей
1. Инвертирующий усилитель Характеристика “б”
2. Неинвертирующий усилитель Характеристика “а”
Тут вы можете оставить комментарий к выбранному абзацу или сообщить об ошибке.
Какое соприкосновение с судовой электрической сетью является наиболее опасным
Докажите свою высокоинтеллектуальность, набрав в нашем тесте на общие знания 13/13
Тест, который покажет, каким животным вы являетесь в душе.
Если вы ответите верно на все наши каверзные вопросы, то точно не зря получали высшее образование
Большой тест на интеллект: узнай свой процент знаний
Если сможете закончить 13 крылатых фраз, то вы настоящий интеллигент
Сможете ли вы узнать 20 людей, определивших ход истории?
Если в этом тесте вы наберете 13/13, то вам пора поступать в Гарвард
Тест: Узнайте что говорит дата рождения о вашей Личности
Тест по советским фильмам: Кто из актеров сказал эти известные всем слова?
Тест на общие знания, который на 11/11 осилит лишь настоящий эрудит
Тест на эрудицию, который мы с треском завалили. Что насчет вас?
Никто не может ответить больше чем на 7 из 10 вопросов в этом тесте на IQ
Главный тест на общие знания: насколько ты умён?
Сможете ли вы узнать советских актеров по фото в молодости?
Ваш учитель географии зря ставил вам «5», если вы не сможете ответить правильно хотя бы на 70%
Сможете ли вы набрать 10/10 баллов в нашем тесте на общие знания?
Каков Ваш психологический возраст?
Хватит ли вашей эрудиции, чтобы пройти этот тест без помощи интернета?
Насколько Ваш мозг пошлый?
Цветовой тест: попробуем отгадать ваш возраст всего за 9 вопросов
Подписывайтесь на наши странички! Обязательно делитесь с друзьями! Впереди много новых интересных тестов! Ежедневные добавления! Страницы: Яндекс Дзен, ВКонтакте, Одноклассники, Facebook
Популярные тесты
Докажите свою высокоинтеллектуальность, набрав в нашем тесте на общие знания 13/13
Тест, который покажет, каким животным вы являетесь в душе.
Если вы ответите верно на все наши каверзные вопросы, то точно не зря получали высшее образование
Большой тест на интеллект: узнай свой процент знаний
Если сможете закончить 13 крылатых фраз, то вы настоящий интеллигент
Сможете ли вы узнать 20 людей, определивших ход истории?
Если в этом тесте вы наберете 13/13, то вам пора поступать в Гарвард
Тест: Узнайте что говорит дата рождения о вашей Личности
Тест по советским фильмам: Кто из актеров сказал эти известные всем слова?
Тест на общие знания, который на 11/11 осилит лишь настоящий эрудит
Тест на эрудицию, который мы с треском завалили. Что насчет вас?
Никто не может ответить больше чем на 7 из 10 вопросов в этом тесте на IQ
Главный тест на общие знания: насколько ты умён?
Сможете ли вы узнать советских актеров по фото в молодости?
Ваш учитель географии зря ставил вам «5», если вы не сможете ответить правильно хотя бы на 70%
Сможете ли вы набрать 10/10 баллов в нашем тесте на общие знания?
Каков Ваш психологический возраст?
Хватит ли вашей эрудиции, чтобы пройти этот тест без помощи интернета?
Насколько Ваш мозг пошлый?
Цветовой тест: попробуем отгадать ваш возраст всего за 9 вопросов
Преимущества
Можете встраивать тесты на Ваш сайт. Тест показывается нашем и других сайтах. Гибкие настройки результатов. Возможность поделиться тестом и результатами. Лавинообразный («вирусный») трафик на тест. Русскоязычная аудитория. Без рекламы!
Пользователям
Вам захотелось отдохнуть? Или просто приятно провести время? Выбирайте и проходите онлайн-тесты, делитесь результатом с друзьями. Проверьте, смогут они пройти также как Вы, или может лучше?
Внимание! Наши тесты не претендуют на достоверность – не стоит относиться к ним слишком серьезно!
БЛОГ ЭЛЕКТРОМЕХАНИКА
Блог судового электромеханика. Электроника, электромеханика и автоматика на судне. Обучение и практика. В помощь студентам и специалистам
14.01.2013
Электробезопасность на судне. Какой ток смертельно опасен для человека?
Электрический ток, протекая через человеческое тело, может нанести внешние и внутренние поражения. Внешними поражениями называются электротравмы, а внутренними — электроудары. Последние чрезвычайно опасны, так как они поражают организм человека в целом, воздействуя на сердце, легкие и нервную систему.
Анализ действия электрического тока на человеческий организм подтвердил, что степень поражения обусловливается главным образом величиной тока, проходящего через тело.
Величина электрического тока зависит от сопротивления тела (пути прохождения тока), от приложенного напряжения, рода тока и частоты, а также от продолжительности воздействия и индивидуальных свойств организма.
Для человеческого организма наиболее опасен переменный ток частотой 50 гц. При увеличении частоты переменного тока опасность поражения электрическим током снижается, а опасность ожога током повышается.
Человек, попавший под действие переменного тока частотой 50 гц и величиной 1 мА, испытывает неприятные ощущения; ток же равный 10 мА смертельно опасен.
На судах возможность поражения электрическим током увеличивается в связи с тем, что обслуживающий персонал работает во влажных стесненных помещениях, в условиях качки, крена и дифферента. Безопасным на судах считается напряжение 12— 36 В, которое применяется при определенных условиях.
Опасность поражения обслуживающего персонала электрическим током зависит от расположения и назначения электрооборудования судового помещения.
В зависимости от степени опасности поражения человека электрическим током различают судовые помещения без повышенной опасности, с повышенной опасностью и особо опасные.
К помещениям повышенной опасности относятся помещения, имеющие значительную влажность, токопроводящую пыль, высокую температуру и возможность одновременного прикосновения человека к металлическому корпусу электрооборудования и к металлическим предметам, имеющим соединение с корпусом судна. Сюда относятся машинно-котельные отделения, камбузы, румпельные отделения с относительной влажностью более 75%.
Особо опасными являются помещения, которые имеют особую сырость или химическую активную среду и, кроме того, два из перечисленных условий повышенной опасности. К этой группе помещений относятся тоннели гребных валов, коффердамы, танки, цистерны, бани и прачечные, в которых относительная влажность близка к 100 %.
В помещениях без повышенной опасности отсутствуют условия, создающие повышенную и особую опасность. К этой категории относятся сухие помещения, в которых относительная влажность не превышает 75% (жилые и служебные коридоры, кают-компании, салоны и другие).
Условия, в которых работает судовое электрооборудование, требуют разной степени защиты от воздействия окружающей среды, а также от случайного соприкосновения обслуживающего персонала с токоведущими, нагретыми и вращающимися частями. Поэтому судовое электрооборудование выполняется в защищенном, брызгозащищенном, водозащищенном, герметическом и взрывозащищенном исполнениях.
При размещении электрооборудования на судах необходимо следить за тем, чтобы его исполнение соответствовало категории помещений и условиям защиты личного состава от поражения электрическим током.
Поражение человека электрическим током может произойти в результате неосторожного прикосновения к голым токоведущим частям электрооборудования, находящимся под напряжением. На переменном токе различают двухфазное и однофазное включение человеческого тела к судовой электрической установке.
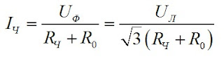
Наиболее опасна двухфазное включение на сеть переменного трехфазного тока, которое может произойти при одновременном прикосновении к двум фазам, находящимся под напряжением.
При этом человеческий организм окажется подключенным на полное линейное напряжение судовой сети и через него пройдет ток, опасный для жизни человека.
где І ч — ток, протекающий через человеческое тело, А;
U л — линейное напряжение судовой сети,В;
R л — сопротивление человеческого тела, Ом.
Если же сопротивление тела при неблагоприятных условиях снизится до800—1000 Ом, то при U = 220 В через организм человека пройдет ток, опасный для жизни:
Однофазное включение с изолированной нейтралью представляет собой присоединение человека к оголенным токоведущим частям одной фазы. Величина тока, проходящего через его тело, будет зависеть от сопротивления изоляции двух других фаз, сопротивления человеческого тела и переходного сопротивления между корпусом судна и телом человека.
При однофазном включении к сети с присоединенным нулем к корпусу судна опасность поражения электрическим током снижается, так как человек оказывается включенным на фазное напряжение.
При этом сила тока, проходящая через тело человека, будет равна:
При однофазном включении в сеть ток, проходящий через тело человека, уменьшается в 1,73 по сравнению с двухфазным. Однако в этом случае человек оказывается включенным под полное фазовое напряжение независимо от состояния изоляции, а при однофазном включении в сеть с изолированной нейтралью ток, проходящий через тело человека, может быть безопасным при высокой изоляции сети.
Поэтому Правила Регистра запрещают применять на судах системы переменного тока с заземленной нейтралью.
Рассмотрим основные мероприятия по безопасности обслуживания источников тока, распределительных устройств с коммутационной и защитной аппаратурой.
Источники тока. Исполнение генераторов, возбудителей должно соответствовать категории судовых помещений и условиям защиты личного состава от поражения электрическим током и от ожогов нагретыми частями электрических машин.
Все токоведущие части вращающихся источников тока должны быть защищены так, чтобы была исключена возможность прикосновения к ним обслуживающего персонала. Температура на отдельных частях должна быть не выше норм, указанных в Правилах Регистра.
Генераторы должны быть установлены таким образом, чтобы их оси были расположены параллельно диаметральной плоскости судна и были бы оставлены свободные места для легкой сборки и разборки, а также был бы обеспечен доступ к контактным кольцам,клеммойкоробке, коллектору и другим обслуживаемым частям.
Обслуживающий персонал должен систематически следить за тем, чтобы сопротивление изоляции электрических машин полностью соответствовало нормам.
Перед включением генератора и возбудителя на нагрузку и после снятия нагрузки надо измерять сопротивление изоляции генератора, возбудителя совместно с подключенной аппаратурой.
Запрещается менять щетки и выполнять ремонт электрических машин в рабочем состоянии, а также снимать ограждения со шкивов, муфт и других вращающихся машин.
Шлифовать коллектор электрической машины разрешается только специальной колодкой, выполненной по форме коллектора, стоя на изолирующей площадке.
Коллектор и другие части электрических машин, находящихся под напряжением, запрещается протирать бензином и другими легковоспламеняющимися жидкостями.
При ремонте генератора необходимо исключить возможность ошибочного пуска первичного двигателя.
Аккумуляторные батареи. На судах устанавливаются щелочные и кислотные аккумуляторные батареи.
Ниже излагается ряд дополнительных требований по пожарной безопасности, предъявляемых к аккумуляторным помещениям и батареям. Категорически запрещается в аккумуляторных помещениях устанавливать электрическую аппаратуру во вне-взрывоопасном исполнении и прокладывать транзитные кабели без газонепроницаемых труб.
Крылатки электровентиляторов аккумуляторного помещения должны быть изготовлены из металла, не дающего искр, в случае, если крылатка заденет за корпус вентилятора. В аккумуляторных помещениях вентилятор следует включать до начала зарядки аккумуляторов и выключать через некоторый промежуток времени после отключения заряженной батареи для удаления из аккумуляторного помещения газов, выделяющихся во время зарядки.
Ящики с аккумуляторными батареями, расположенные на открытых палубах, должны иметь теплоизоляцию и быть в водонепроницаемом исполнении.
Распределительные устройства. К судовым распределительным устройствам относятся главные распределительные щиты (ГРЩ), аварийные распределительные щиты (АРЩ), распределительные щиты (РЩ) и др.
На всех распределительных устройствах необходимо обеспечить свободный доступ к автоматам, электроизмерительным приборам, шунтам, измерительным трансформаторам, сопротивлениям и другим элементам для их осмотра и замены.
Крышки аппаратов должны сниматься, открываться и устанавливаться без заеданий и замыканий токоведущих частей.
Сигнальные лампы на распределительных щитах и пультах управления должны быть расположены таким образом, чтобы можно было четко видеть коммутационное положение аппаратуры и устройств во включенном, отключенном и аварийном состоянии.
Сигнальные лампы надо заменять с лицевой стороны распределительных устройств.
На распределительных устройствах нужно систематически проверять плотность контакта на шинах, а также между шинами и токоведущими болтами и винтами аппаратуры, установленной на щитах. Нарушение контактов может вызвать искрение в контактном соединении, что может привести к загоранию изоляционных панелей и других частей.
При автоматическом срабатывании автоматов на распределительных устройствах разрешается повторное однократное включение без проверки причины срабатывания.
При последующем отключении необходимо найти и устранить причину отключения участка судовой сети.
На распределительных устройствах менять под напряжением перегоревшие плавкие вставки предохранителей разрешается только изолированными клещами или будучи в диэлектрических перчатках. Запрещается применять в предохранителях некалиброванные нестандартные плавкие вставки.
Коммутационные аппараты, предназначенные для размыкания цепей электрического тока, должны иметь искрогасители. При отключении питания распределительного щита на время ремонтных работ на рукоятке автоматического выключателя, которым отключено напряжение, должен быть вывешен плакат с надписью «Не включать — работают люди!».
Перед выполнением работ с частичным снятием напряжения необходимо оградить остающиеся под напряжением токоведущие части временным ограждением из изолирующего материала.
После установки плакатов и временных ограждений должно быть проверено отсутствие напряжения на отключенных участках судовой сети между фазами и корпусом судна.
Отсутствие напряжения до 220 В проверяется контрольной лампой, а при более высоком напряжении — переносным вольтметром или индикатором напряжения.














